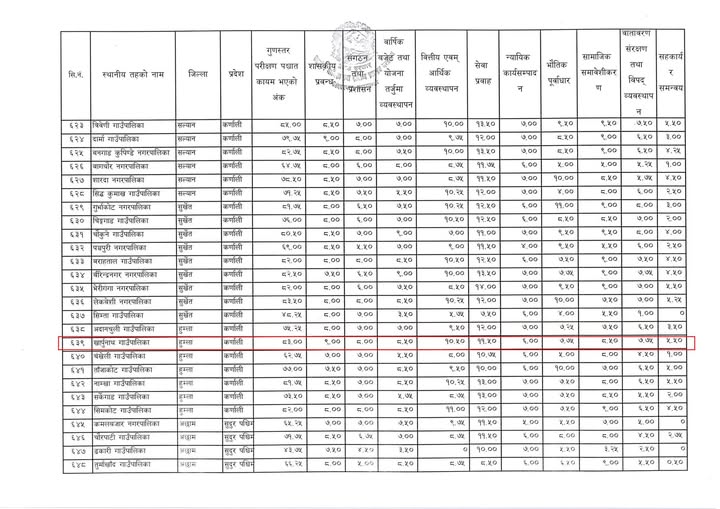
संघिय मामिला तथा सामान्य प्रशासन मन्त्रालयले गरेको गुणस्तर परिक्षणमा हुम्ला जिल्लाको खार्पुनाथ गाउँपालिका पहिलो भएको छ । उक्त गाउँपालिका ८३ अंक प्राप्त गरी जिल्लाका ७ वटा गाउँपालिकामा पहिलो भएको खार्पुनाथ गाउँपालिकाका प्रमुख प्रशासकिय अधिकृत विष्णुबहादुर शाहीले बताएका छन् ।

यस अघि आर्थिक वर्ष ०८०।०८१ को स्थानिय तह संस्थागत क्षमता स्व मुल्याङकनलाई जिल्ला समन्वय समितिको कार्यालय हुम्लाबाट गरेको अन्तिम मुल्याङ्नलाई पुनरावलोकन गर्दै संघिय मामिला तथा सामान्य प्रशासन मन्त्रालयले गरेको गुणस्तर परिक्षणवाट हुम्लाका ७ वटा स्थानीय तहको प्राप्तांक बमोजिम हुम्लाको खार्पुनाथ गाउँपालिका पहिलो भएको हो ।

जिल्ला समन्वय समितिको मुल्याङकनमा दोस्रो भए पनि मन्त्रालयको मुल्याङकनमा पहिलो भएको छ । यसै गरी उक्त मुल्याङकनमा सिमकोट गाउँपालिकाले ८२ अंक प्राप्त गरी दोश्रो, ८१.७५ अंक प्राप्त गरी नाम्खा तेश्रो, ७७ अंक प्राप्त गरी ताँजाकोट गाउँपालिका चौथो हुन सफल भएका छन् । सोही अनुसार अदानचुली गाउँपालिकाले ७५.२५, सर्केगाड गाउँपालिकाले ७३.५० र चंखेली गाउँपालिकाले ६२.७५ अंक प्राप्त गरेका छन् ।

नतिजा प्राप्तिमा अहोरात्र खटिने सम्पुर्ण जनप्रतिनिधिहरु र कर्मचारीहरुलाई खार्पुनाथ गाउँपालिकाले हार्दिक आभार समेत व्यक्त गरेको छ ।